Что делать с решением суда о взыскании алиментов?
Мало подать исковое заявление в суд и получить решение суда о взыскании алиментов на руки. Такое решение нужно еще и исполнить, то есть произвести удержание алиментов с ответчика. Алименты могут выплачиваться ответчиком добровольно. Однако чаще всего приходиться делать это принудительно.
После вступления решения в законную силу нужно получить исполнительный лист и предъявить его в службу судебных приставов или решить вопрос об удержании алиментов другим способом (предъявить исполнительный лист в организацию по месту работы ответчика).
Процедуру получения алиментов после вынесения решения суда мы описали в отдельной статье.
Обратите внимание!
Когда подавать на алименты
Для того, чтобы подавать на алименты, требуется какое – либо основание. Главной причиной для подачи алиментов на детей является то, что один из родителей не принимает участия в воспитания ребенка. Возникает такое основания в следующих ситуациях:
- Родители развелись;
- Родители не состояли в браке, а затем прекратили общение;
- Один из родителей лишен родительских прав;
- Отец или мать скрываются.
Помимо этого существует еще одно веское основание для выплат – у ребенка имеется инвалидность, и для его содержания требуются дополнительные средства. Законом установлено два способа взыскания алиментов: на основе добровольного соглашения или в судебном порядке. Для начала рассмотрим мирное решение алиментного вопроса.
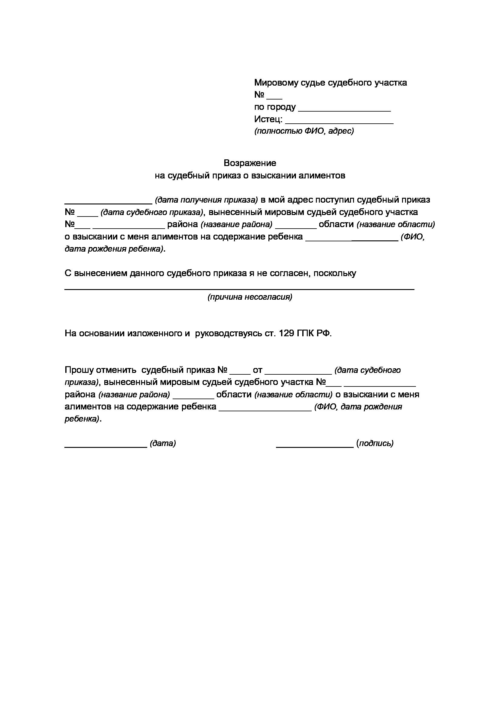
Заявление для оформления судебного приказа

Если родитель перестает платить алименты, то взыскание будет осуществляться в бесспорном порядке на основании судебного приказа. Для его оформления следует лично подать или отправить заказным письмом заявление мировому судье. К нему необходимо приложить копии документов. В заявлении указываются факт пребывания в браке, количество детей и их данные, требования получателя, данные плательщика и т. д.
Чтобы подать в суд на алименты для выдачи судебного приказа, необходимы копии свидетельств о браке и его расторжении, документы об установлении отцовства (если брак не был зарегистрирован), соглашения о выплате алиментов. Также понадобится справка с места работы недобросовестного плательщика.
В соответствии с нормами гражданского процессуального законодательства заявление будет зарегистрировано и рассмотрено. В течение пяти дней судья вынесет судебный приказ о взыскании алиментов без судебного разбирательства и вызова сторон на заседание. После получения приказа его необходимо отвезти судебному приставу или в бухгалтерию по месту работы неплательщика.
Формы алиментных выплат
Порядок удержания алиментов в пользу несовершеннолетних детей и нетрудоспособных родственников подробно описан в главе 5 Семейного кодекса Российской Федерации. Нормативно-правовым актом предусмотрено, что существуют следующие формы выплаты алиментного содержания:
- в проценте или фиксированной доле от официального заработка плательщика;
- регулярно в твердой денежной сумме;
- одноразово путем перевода крупной суммы;
- путем передачи материальных ценностей детям;
- смешанная форма.
Какой вариант выбрать в каждом случае, зависит от видов прибыли, которую получает плательщик, а также от обоюдного соглашения сторон.
Таблица № 1 «Основания и условия выбора каждой из форм расчета алиментов»
| Вид взыскания | Особенности назначения |
|---|---|
| Процент от дохода | Допускается, когда отдельно проживающий родитель имеет официальный доход, выплачиваемый в российских рублях |
| Фиксированная регулярная сумма | Может назначаться при следующих обстоятельствах:
Преимущество способа в том, что фиксированная сумма может быть гораздо больше, нежели получение доли от официального дохода. Но суды редко назначают такую форму содержания, поскольку выплата не может быть меньше регионального детского прожиточного минимума, а гарантий, что у плательщика будет возможность переводить деньги в дальнейшем – отсутствует |
| Одноразовый перевод | Может назначаться только в рамках договора между родителями ребенка. Одноразовая сумма не может быть меньше, нежели сумма прожиточных минимумов за конкретный период времени |
| Передача имущества в пользу ребенка | Касается не только крупных покупок (недвижимость и транспортные средства), но также предметов первой необходимости. Суды не назначают такую форму содержания, но родители в нотариальном соглашении могут самостоятельно обговорить принципы материальной поддержки путем предоставления материальных ценностей |
| Комбинированный способ | Предусматривает одновременное начисление нескольких форм содержания. Чаще это истребование процента от официального заработка и удержание дополнительной фиксированной суммы выплат |
Виды заявления о взыскании алиментов
Есть два типа заявлений на алименты:
- Заявление на судебный приказ.
- Исковое заявление на взыскание алиментов.
Заявление на судебный приказ нужно подавать, если требования о взыскании алиментов на детей не связаны с установлением или оспариванием отцовства и если должник не платит алименты на других детей.
Истец обращается в мировой суд с заявлением о выдаче судебного приказа. Судья выносит приказ и направляет его должнику. В приказе он определяет размер алиментов — доли от дохода родителя. По своей силе приказ равен исполнительному листу.
Истец обращается в мировой суд с заявлением о выдаче судебного приказа. Судья выносит приказ и направляет его должнику. В приказе он определяет размер алиментов — доли от дохода родителя. По своей силе приказ равен исполнительному листу.


Исковое заявление на взыскание алиментов нужно подавать в следующих случаях:
- Отцовство или материнство не установлено.
- Должник платит алименты на других детей.
- Нужно взыскать алименты только в твердой денежной сумме или одновременно в долях и в твердой денежной сумме.
- Отменили судебный приказ.
Образец искового заявления на взыскание алиментов
Можно ли подать на алименты без развода
По закону на алименты на ребенка без развода можно подать в стандартном порядке. Это обусловлено тем, что при заключении брака, стороны официально принимают на себя обязательства по материальному содержанию друг друга и общих детей. Следовательно, сохранение брачных отношений является еще более весомой причиной для подачи запроса на алименты.
Если было проведено судебное слушание, в ходе которого установлена необходимость исчисления алиментов, истцу выдается исполнительное производство, с которым он может обратиться к ответчику или в ФССП.
Выплата алиментов без расторжения брака может быть присуждена не только в отношении обеспечения малолетнего ребенка. Недееспособный супруг также может претендовать на получение алиментных выплат.
Можно ли обойтись без суда?
Родители часто пытаются решить вопрос без суда, так как он отнимает время на подготовку документов и поход в суд, нужно оплачивать пошлину, показывать или доказывать источники дохода.
Закон предусматривает возможность самостоятельно договорится родителям о размере и порядке выплаты алиментов. Если обе стороны смогли достичь компромисса, то следует обратится к нотариусу и скрепить свои договоренности алиментным соглашением.
Договоренность родителей по алиментам должна быть изложена в виде алиментного соглашения, иначе плательщик алиментов спустя некоторое время или попав в сложную жизненную ситуацию, просто перестанет платить. Устных договоренностей не достаточно, чтобы взыскать долг за прошлый период.
Как подать на алименты без суда?
Инструкция по шагам:
- Родители договариваются о размере и порядке выплат, а также способе их получения
- Заполняют соглашение об уплате алиментов, в котором указывают свою договоренность
- Обращаются к нотариусу, и в его присутствии подписывают документ
Алиментное соглашение, без заверения его у нотариуса — не имеет юридической силы.
Как правильно составить алиментное соглашение?
Алиментное соглашение может быть составлено в свободной форме, но должно быть нотариально заверено. Соглашении должно быть составлено с соблюдением правил ведения документации, в нем должны быть указаны основные сведения:
- Дата и место заключения соглашения
- Сведения о родителях: ФИО, дата рождения, место проживания и прописки, паспортные данные
- Сведения о детях на которых заключается данное соглашение: ФИО, дата рождения, место проживания
- Условия о порядке и размере выплат:
- размер алиментов должен быть не ниже установленных законом (п.2 ст.103 СК)
- регулярность выплат (единоразово, ежемесячно, ежеквартально, ежегодно)
- способ получения (наличными, банковским платежом, почтовым переводом)
- срок действия соглашения (до совершеннолетия ребенка, до наступления определенного обстоятельства, вступления ребенка в брак, трудоустройства ребенка, достижения родителем пенсионного возраста)
- ответственность за неисполнение (штраф, пеня)
Образец cоглашения о выплате алиментов
Образец соглашения о выплате алиментов
Соглашение не должно содержать исправлений, неточностей, двусмысленных формулировок, смысл которых может быть искажен или неправильно истолкован. Соглашение не должно нарушать права детей и родителей. Перед подписанием соглашения, желательно проконсультироваться с юристом. Документ составленный с нарушением закона, может быть признан недействительным.
Как подать на алименты, если отец официально не работает
Российское законодательство не освобождает неработающих граждан от ответственности по уплате алиментов. Предполагается, что родитель обязан зарабатывать и передавать часть дохода собственным детям.
Как взыскать материальные средства с официально неработающего отца?
Наиболее удобным вариантом взыскания представляется заключение добровольного соглашения между родителями, в котором указана заранее оговоренная сумма выплат.
Если отец не работает и не помогает детям, то получить алименты можно обратившись в суд, для чего нужно составить исковое заявление, в котором следу указать период неуплаты.
Для подачи иска понадобится:
- паспорт;
- свидетельство о браке (о расторжении брака);
- свидетельство о рождении;
- справку о составе семьи.
О чем желательно знать при подаче документов?
Суд заинтересует информация об имуществе ответчика, источнике дохода, официальном и неофициальном заработке — это важно для установления окончательной суммы выплат. Присутствие обоих родителей во время судебного процесса обязательно, в противном случае решение считается неправомочным
Присутствие обоих родителей во время судебного процесса обязательно, в противном случае решение считается неправомочным.
Вынесенное судом и не опротестованное в положенный срок решение (10 дн.) передается в исполнительную службу.
Как выплачиваются алименты?
Добровольно или по решению суда. В первом случае оба родителя составляют алиментное соглашение у нотариуса, в котором определяют размер и порядок выплат, во втором — один из супругов (истец) подает исковое заявление в суд, который определит размер выплат, исходя из доходов второго родителя (ответчика).
Платить алименты нужно каждый месяц в том размере, который определил суд или вы оговорили в алиментном соглашении. При этом выплаты по алиментному соглашению не должны быть ниже выплат, которые определил бы суд.
В соответствии с Кодексом «О браке (супружестве) и семьи» на одного ребенка нужно выплачивать не менее 1/4 от заработной платы или другого дохода супруга, на двух детей — 1/3, на трех и более — 1/2. Больше половины дохода с несознательного супруга суд взыскать не может.
Некоторые женщины отказываются оформлять алименты, если отец ребенка не работает или работает неофициально и скрывает свои доходы. Они думают, что алименты будут начисляться из минимальной заработной платы по Казахстану, которая на 2017 год составляет всего 24 459 тенге. Из этой суммы получаются скромные алиментные отчисления.
Однако с января 2014 года с неработающего отца или матери алименты начисляются, исходя из среднемесячной зарплаты по Казахстану. Во втором квартале 2017 года она составляла 149 951 тенге. Теперь ваш ребенок будет получать существенную помощь от «неработающего» родителя, а ответчику будет невыгодно скрывать свои доходы, если они меньше среднемесячной зарплаты по стране.
Чем раньше вы подадите заявление на алименты, тем лучше. Алименты начисляются с момента подачи вашего заявления, а не после решения суда. Суд может затянуться, по вине ответчика, но начисленные алименты за этот период ваш ребенок все равно получит, поэтому не стоит мешкать.
Как правильно написать заявление на взыскание алиментов у бывшего супруга?
Самый ответственный момент процедуры — грамотное оформление бумаг. Поэтому имеет смысл разобраться не только с тем, как подать документы в суд на алименты на мужа, но и как правильно заполнить исковое заявление. Именно эта бумага будет рассматриваться мировой судьей, поэтому в ней необходимо детально изложить суть просьбы и перечислить доказательную базу.

Образец искового заявления на взыскание выплат с ответчика
В бланке, который истец получит на руки в канцелярии или в МФЦ, нужно обязательно указать наименование инстанции и ее адрес, ФИО истца и реквизиты его паспорта. Далее детально изложить суть подачи иска, делая акцент на необходимости взыскать алименты (нести ответчику ответственность за рожденных в браке детей) или задолженность по ним. В ходе изложения указывают:
- ФИО алиментщика;
- реквизиты паспорта ответчика;
- личные данные плательщика: год рождения, прописка по паспорту, адрес фактического проживания и пр.;
- ФИО совместных детей;
- реквизиты свидетельств их рождения;
- личные данные детей: год рождения, с кем проживает и т.д.;
- желаемый размер алиментов;

Образец искового заявления на выплаты содержания в твердой сумме
Важно! По законодательству на одного малыша суд назначает 25% от стабильного заработка. На двоих детей — 33%, на троих и более — от 50%
При этом истец имеет право учитывать все доходы ответчика как официальную заработную плату, так и дополнительный доход, включая премии.
- сроки начала взыскания;
- дату сочетания брака и его расторжения;
- реквизиты обоих документов (заключение брака, расторжение).
Также в иске нужно перечислить весь прилагаемый к нему пакет бумаг. Если есть дополнительные свидетельства, доказательная база, их также нужно упомянуть.
Кому следует оплачивать госпошлину
В соответствии со ст. 5 ЗУ «О судебном сборе»: «От уплаты судебного сбора при рассмотрении дела во всех судебных инстанциях освобождаются:
3) истцы — по делам о взыскании алиментов, оплату дополнительных расходов на ребенка, взыскание неустойки (пени) за просрочку уплаты алиментов, индексацию алиментов или изменение способа их взимания».
Таким образом, вы, как истец по делу, освобождаетесь от уплаты госпошлины при подаче иска в суд. При рассмотрение дела и вынесении решения судья постановляет взыскать государственную пошлину со второй стороны — ответчика по делу, с которого по решению суда будут взыскиваться алименты.
Как подать на алименты в любых случаях
Некоторые пары заключают устное соглашение о том, что родитель, который живет отдельно или та сторона, которая имеет лучшие условия проживания, будут выплачивать определенную сумму добровольно. Если обе стороны все устраивает, то иск об алиментах нет смысла подавать. В противном случае, вы можете обратиться в суд по месту своего проживания:
- обратитесь к мировому судье в том случае, если выплата алиментов не связана с установлением отцовства, материнства или других причастных к выплатам лиц;
- обратитесь в районный суд во всех спорных случаях.
Каждый гражданин, имеющий право на получение алиментов, может подать на них в любое время. При обращении в суд о взыскании алиментов, истец не выплачивает госпошлину.
Вы можете подать на алименты через госуслуги, следуя пошаговой инструкции.
Отказ суда рассмотреть заявление о взыскании алиментов
Суд может отказать в рассмотрении документов в случаях:
- ответчик живет за пределами РФ;
- отсутствуют официальные документы, которые подтверждают право ребенка (детей) и супруга на получение денежного содержания от ответчика, или это право является спорным;
- не оплачена госпошлина.
Как уже говорилось, суд в приказном порядке рассматривает бесспорные требования. Сейчас часто встречаются ситуации, когда дети рождаются в гражданских незарегистрированных браках и в детских документах указана только мать ребенка, нет документов о признании отцовства (отец не указан в свидетельстве о рождении). В таких ситуациях придется сначала доказывать факт отцовства, а затем уже взыскивать алименты.
Подать на алименты: как подать иск
Исковое заявление очень важно оформить правильно, четко и обоснованно. Большая часть успеха зависит от того, правильно ли заявитель написал свои требования и правдивые ли предоставил улики
Верно сформированное заявление должно содержать:
- название суда, куда подается иск (адрес, номер);
- сведения о заявителе (Фамилия Имя Отчество, город и адрес проживания, номер телефона или электронной почты, по которой можно связаться);
- сведения об ответчике (Фамилия Имя Отчество, место проживания, если известно: место работы, контактный номер телефона,e-mail);
- сведения о ребенке (Фамилия Имя Отчество, число и место рождения, с кем и по какому адресу находится на момент подачи иска);
- запрос, ради которого и создается иск, — установление алиментов в законной форме;
- просчитанное запрашиваемое количество (в случае запроса части от дохода — какую часть, в случае фиксированной суммы — саму цифру и обоснование почему именно такая);
- бумаги или документы доказывающие требования (чеки о расходах на проживание, еду, одежду, школу\садик и так далее), желательно показать расходы хотя бы за два-три месяца;
- перечень документов, которые были прикреплены к иску;
- от руки заявителя дата и подпись.

Образец искового заявления
Судебный приказ для получения содержания на ребенка и супруга
В том случае, если требование бесспорно – дело рассматривается в приказном порядке. Вопрос о взыскании алиментов на признанных детей и нуждающихся супругов, является бесспорным. В данном случае нет необходимости вызывать и опрашивать стороны, представлять какие-либо доказательства и давать показания. Вся информация будет содержаться в представленных документах.
Если есть документы, которые подтверждают, что брак был официально зарегистрирован и ребенок был рожден в период, когда брак существовал, – суд сам рассмотрит документы и на их основании единолично вынесет решение, которое будет называться судебным приказом. Копия приказа выдается заявителю, также суд может по просьбе нуждающегося члена семьи направить документ судебному приставу, который самостоятельно займется исполнением акта суда и взысканием средств на содержание ребенка и семьи.
Судебный приказ (заверенная в суде копия) является исполнительным документом. Неисполнение судебного приказа, например, сокрытие места работы, влечет ответственность, которая применяется силовыми государственными структурами.
Ответы юриста на вопросы о подачи документов на алименты
Можно ли взыскать алименты задним числом
Заполнение иска «задним числом» не допускается – это нарушает законодательство, и документы приняты не будут. Заявление подписывается фактической датой, но выплаты при положительном решении начисляются за последние 3 года.
Можно ли подать на алименты на самого себя
Есть другие варианты:
- составление алиментного соглашения;
- открытие банковского счета на имя ребенка. По достижении 18 лет он сможет воспользоваться деньгами.
Передавать на руки наличные не рекомендуется без расписки о получении, в противном случае даже при добросовестной уплате женщина сможет повторно истребовать выплаты через суд. Более подробно о порядке действий в случае отказа супруги от алиментов читайте в этой статье.
Если решение о взыскании выплат принято, повторно направлять иск нет смысла – его не примут. Для обжалования следует обращаться в апелляционную или кассационную инстанцию.
Более подробно о возможности повторной подачи иска читайте здесь.
Вместо заключения
Итак, в этой статье мы рассмотрели не только то, как подать на алименты, но и как составить соглашение, какие документы потребуются при обращении в суд и чем отличается процедура оформления судебного приказа от рассмотрения иска в судебном порядке. Основываясь на вышеизложенном, сделаем вывод: каждый родитель, независимо от его желания и материального обеспечения, обязан содержать своего несовершеннолетнего ребенка. Наилучший выход — прийти к компромиссу и подписать соглашение на добровольной основе. В случае отсутствия взаимопонимания нужно будет подать иск на алименты. Ваш ребенок должен получать то, что причитается ему по закону!
Способы перечисления денег по собственному желанию
Не рекомендуется просто отдавать деньги бывшей супруге, поскольку у плательщика не будет доказательств того, что средства действительно передавались.
Если получатель выплат подаст судебный иск, плательщика могут заставить выплачивать средства за прошедшие три года, даже если по факту он это делал.
Подробнее о сроке исковой давности задолженности по алиментам здесь.
Хотя ответ на вопрос: может ли мужчина сам на себя подать на алименты – отрицательный, плательщик может воспользоваться одним из следующих способов.
Отчисления из зарплаты
Составить заявление в бухгалтерию по месту работы, с просьбой каждый месяц перечислять определенную сумму средств из зарплаты на предоставленный счет в банке. В заявлении необходимо указать, какие именно суммы необходимо перечислять, прописать точные реквизиты счета получателя, указать назначение выплат.
Для того чтобы этот метод сработал, получатель должен иметь счет в банке. Если такового нет, его следует открыть.
Преимуществом метода является возможность в любой момент взять справку о переводах, которая засвидетельствует факт перечисления средств.
Однако если второй родитель не желает получать деньги, произвести операцию будет нельзя (однако можно открыть счет на имя ребенка).
Кроме того, без добровольного соглашения либо исполнительного документа сотрудники бухгалтерии могут отказать плательщику в осуществлении его просьбы.
Соглашение
Заключить с родителем-получателем добровольное соглашение, в котором оговорить все нюансы будущих перечислений.
Нотариально заверенная копия подобного соглашения имеет юридическую силу.
Бухгалтер предприятия не сможет отказать в удовлетворении заявления работника, если к нему будет прикреплен образец этого документа.
Если же гражданин безработный, либо у него есть дополнительный незарегистрированный источник дохода, он может самостоятельно перечислять средства на счет получателя (хотя лучше открыть счет в банке на имя ребенка и перечислять средства на него).
При этом важно сохранять все чеки и квитанции. В случае если вторая сторона подаст судебный иск, они будут доказательством действий ответчика
Нюансы заключения соглашения
Соглашение составляется и подписывается сторонами — лицом, обязанным уплачивать алименты, и получателем денежных средств. Документ в обязательном порядке заверяется нотариально, и после этого он вступает в силу. Размер алиментов на одного ребенка не может быть меньше четвертой части, на двух детей — одной третьей части заработной платы или иного дохода плательщика, а также не может быть ниже суммы, которой получатель мог бы добиться в судебном порядке.
В данном документе предусмотрена индексация размера алиментного платежа для защиты его от инфляции. Соглашение может быть расторгнуто по взаимному согласию сторон в любой период времени. Любые изменения его условий должны быть произведены письменно и заверены у нотариуса. Односторонний отказ от исполнения обязательств или изменение условий соглашения не допускается.
Где всё брать и куда подавать?
Справка о составе семьи изготавливается в отделении паспортного стола по месту регистрационного учёта родителя и несовершеннолетнего ребёнка. Документ действителен две недели с момента выдачи.
Справку о заработке ответчика найти очень проблематично. А если ответчик проживает ещё и в другом городе или регионе, то проблема усложняется в двойне. Ответчик может скрываться и уклоняться говорить о своей работе.
Справка о доходах заявителя заказывается в организации, где работает истец. Обычно документ изготавливают специалисты по начислению заработной платы, либо бухгалтера.
Заявление со всеми сопутствующими документами и приложениями необходимо подавать в мировой суд.
Статья 29 ГПК РФ чётко разъясняет, что заявитель вправе самостоятельно выбрать территориальное расположение суда, в которое будет подавать исковое заявление. Это может быть суд по адресу регистрации, как самого истца, так и по прописке ответчика. Однако если заявитель проживает на одной территории с несовершеннолетним ребёнком, то ему удобнее подавать иск по своему адресу.
Однако в некоторых случаях выгоднее подавать на алименты по адресу регистрационного учёта ответчика, так как в этой ситуации документы быстрее попадут в руки к судебным приставам (что делать, если приставы бездействуют?).
О том, в какой суд нужно подавать иск по алиментам, рассказано тут.
Порядок вынесения судебного решения о взыскании денежного содержания
Судебный приказ суд выносит в течение 5 суток с того момента, когда подали заявление. Стороны в суд вызывать не будут – судья самостоятельно рассмотрит материалы, предоставленные нуждающимся супругом, и вынесет вердикт по факту наличия права на алименты, которое установлено предоставленными документами.
В решении суд укажет размер платежей и сроки их выплаты. Должника уведомят о вынесении судом приказа о взыскании денежных сумм. Если в установленный 10-дневный срок должник не выразит возражения по существу судебного приказа, то он приобретает силу исполнительного документа, исключая исковое производство посредством судебного разбирательства с вызовом сторон и заслушиванием их объяснений.
- Правом на получение алиментов в браке обладают совместные дети и нуждающиеся супруги.
- Алименты могут взыскиваться по добровольному соглашению супругов, которое заверено нотариусом.
- Если супруг отказывается содержать семью, алименты можно с любого супруга (жена, муж) взыскать в принудительном порядке, обратившись в суд. Неисполнение судебного акта повлечет для ответчика административную и уголовную ответственность.
- Для взыскания содержания нуждающийся супруг обращается к мировому судье. В суд предоставляют материалы, подтверждающие право на получение денежных средств от супруга.
Вопросы при составлении искового заявления о взыскании алиментов
Предлагаем рассмотреть распространённые вопросы, которые могут возникнуть при составлении иска.
- Как указать в заявлении, если алиментоплательщик выполняет алиментные обязательства перед другими детьми от первого брака? В данном случае применяется стандартный образец искового заявления. В данном документе нужно указать, что ответчиком уже производятся алиментные выплаты на других детей в определенном размере. Помимо этого, можно обратиться к суду с просьбой взыскать алименты на общих с ответчиком детей с учетом выплачиваемых сумм.
- Если ребенок прописан у одного родителя, а проживает у другого, необходима ли справка с жилищных органов? Что делать в случаях, когда место работы алиментоплательщика неизвестно, а справку он отказывается предоставлять? В данном случае, непредоставление справки не будет грубым нарушением, но вместо нее суд может затребовать иные доказательства того, что ребенок находится на попечении истца. Что касается справки с места работы, то в заявлении данный аспект необходимо затронуть. В таком случае, справка с работы будет затребована органами судебной власти.
- Можно ли пропустить графу, в которой указывается наличие других детей у ответчика, если истец не владеет этой информацией? Если заявителю неизвестно о других иждивенцев, в отношении которых ответчик должен платить алименты, разрешается не указывать это в заявлении.